
#include<stdio.h>
#include<math.h>
int main()
{
int a,b,c;
float s,tri_area;
printf("Enter Sides of Triangle\n");
printf("----------------------------\n");
printf("Enter First Side : ");
scanf("%d",&a);
printf("Enter Second Side : ");
scanf("%d",&b);
printf("Enter Third Side : ");
scanf("%d",&c);
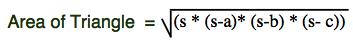
s =(a+b+c)/2.0;
tri_area=sqrt(s*(s-a)*(s-b)*(s-c));
printf("----------------------------\n");
/* %.3f is used to print an area up to three decimal places.
Otherwise, it will take default 6 decimal places*/
printf("Area of Triangle = %.3f",tri_area);
return 0;
}
