Data Model

Definition of Data Model

According to Hoberman (2009),
        “A data model is a way of finding the tools for both business and IT professionals, which uses a set of symbols and text to precisely explain a subset  of real information to improve communication within the organization and thereby lead to a more flexible and stable application environment”.

  • A data model is an idea which describes how the data can be represented and accessed from software system after its complete implementation.
  • It is a simple abstraction of complex real world data gathering environment.
  • It defines data elements and relationships among various data elements for a specified system.
  • The main purpose of data model is to give an idea that how final system or software will look like after development is completed.

Types of Data Model

Following are the types of Data Model,
1. Hierarchical Model
2. Relational Model
3. Network Database Model
4. Entity Relationship Model
5. Object Model

1. Hierarchical Model
  • Hierarchical model was developed by IBM and North American Rockwell known as Information Management System.
  • It represents the data in a hierarchical tree structure.
  • This model is the first DBMS model.
  • In this model, the data is sorted hierarchically.
  • It uses pointer to navigate between the stored data.
hierarchical model

2. Relational Model
  • Relational model is based on first-order predicate logic.
  • This model was first proposed by E. F. Codd.
  • It represents data as relations or tables.
  • Relational database simplifies the database structure by making use of tables and columns.
relational model

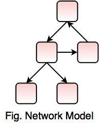
3. Network Database Model
  • Network Database Model is same like Hierarchical Model, but the only difference is that it allows a record to have more than one parent.
  • In this model, there is no need of parent to child association like the hierarchical model.
  • It replaces the hierarchical tree with a graph.
  • It represents the data as record types and one-to-many relationship.
  • This model is easy to design and understand.
network model

4. Entity Relationship Model
  • Entity Relationship Model is a high-level data model.
  • It was developed by Chen in 1976.
  • This model is useful in developing a conceptual design for the database.
  • It is very simple and easy to design logical view of data.
  • The developer can easily understand the system by looking at an ER model constructed.
er-model

In this diagram,
  • Rectangle represents the entities. Eg. Doctor and Patient.
  • Ellipse represents the attributes. Eg. DocId, Dname, PId, Pname. Attribute describes each entity becomes a major part of the data stored in the database.
  • Diamond represents the relationship in ER diagrams. Eg. Doctor diagnoses the Patient.
5. Object Model
  • Object model stores the data in the form of objects, classes and inheritance.
  • This model handles more complex applications, such as Geographic Information System (GIS), scientific experiments, engineering design and manufacturing.
  • It is used in File Management System.
  • It represents real world objects, attributes and behaviors.
  • It provides a clear modular structure.
  • It is easy to maintain and modify the existing code.